Errechnen der Diagonale
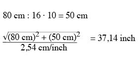
Ein Display hat das Seitenverhältnis 16:10 und ist 80 cm breit. Wie lang ist die Diagonale in inch?

Erläuterung der Schritte: Erster Schritt ist die Berechung der Monitorhöhe (Ergebnis: 50 cm)
Im zweiten Schritt wird im Zähler die Diagonale in cm berechnet (nach Pythagoras c2 = a2 + b2
Dieses Ergebnis muss noch durch 2,54 geteilt werden, um nach inches umzurechnen.
Anderes Beispiel: Ein Display hat das Seitenverhältnis 4:3. Der Monitor ist 12 inch breit:

Läuft alles über Verhältnisgleichung ab:

Tags:
Bewertung:
Bisher keine Bewertung

Kommentare
Hallo Sinja,
die Rechnungsweise ist dieselbe, nur die Reihenfolge ist vertauscht.
Also: Es gilt das Seitenverhältnis Breite/Höhe = 4/3. Gegeben ist die Breite von 12 inch.
Stellt man die Formel um, ergibt sich: Gesuchte Höhe = Breite x 3 : 4 = 12 x 3 : 4 inch.
Klar geworden?
Viele Grüße
Thomas